稳定井流直线图解法确定含水层参数
摘要:对于潜水井流,利用Dupuit公式计算的参数往往相差很大,难以直接选用。对Dupuit公式进行线性化,建立降深(s)与距离(r)的s-lnr直线关系,利用直线斜率、直线在x 轴上的截距,可以直接求得唯一的渗透系数K 和影响半径R。利用内蒙古突泉县突泉镇周边河谷地区的承压水井抽水试验资料和内蒙古锡林浩特市27个潜水抽水井及其观测孔的抽水试验资料,应用直线图解法分析计算,得到唯一的含水层参数T、K 和R。将计算结果与直接利用Dupuit公式所计算的结果相比较,前者的求参效果较好。
关键词:直线图解法;完整井稳定流;渗透系数
引言
含水层参数的计算与确定是地下水资源计算与评价、开发利用与保护及科学管理的重要依据。确定含水层参数的方法,通常有抽水试验法[1]、压水试验法、注水试验法、示踪试验法、室内实验法、动态资料推求法、数值方法和同位素方法等。利用Dupuit公式或Thiem公式进行稳定井流含水层参数计算十分普遍。在进行参数计算时,是根据现有规范及计算方法的适用条件,采取相应方法进行计算,最常用的是野外稳定流抽水试验法[2]。利用Dupuit公式,将抽水试验达到稳定或趋近稳定时的流量Q及抽水井或观测孔的水位降深s代入公式中,可直接求出含水层渗透系数K 和影响半径R[3-5]。
同一试验场所资料相同、方法不同或资料不同、方法相同所得到的含水层参数值相差很大,这给含水层参数的确定和选用带来了极大的困难。这样确定的参数是否合理、是否符合实际水文地质条件以及是否具有较高的精度一直是专业技术人员非常关心的问题。含水层参数表征了含水层的内部结构特征,是刻画水文地质实体特征的基本参数,它的正确与否将直接关系到研究成果的精度。本文提出一种新的确定含水层参数的方法—稳定井流的直线图解法,可唯一地确定一个试验场所的含水层参数,且所求参数能很好地反映实际水文地质条件。
1 基本原理
参数确定的是否合理,直接影响着地下水资源计算与评价、地下水模拟预测的准确性。本文在含水层参数的传统计算基础上,尝试利用直线图解法对稳定流抽水资料进行水文地质参数的确定。
1.1 传统稳定井流求参方法
承压水完整井流的Dupuit 公式为:

(3)潜水完整井流的Dupuit公式为:

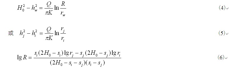
式中:K 为含水层的渗透系数(m/d); Q为抽水井流量(m3/d); 为抽水井半径(m); 为抽水井中水位降深(m); , , , 为观测井距抽水井的距离和井中的水位降深(m),其中i,j= 1,2,3,4,i<j;R 为影响半径(m); , 为观测孔水位(m); , 为分别为潜水含水层初始厚度和承压含水层厚度(m)。
式(1)、(4)分别为用抽水井和任一个观测井计算参数的承压水完整井、潜水完整井的稳定流Dupuit公式;式(2)、(5)分别为用两个观测井计算参数的承压水完整井、潜水完整井的稳定流Dupuit公式,又称Thiem公式[6]。
1.2 稳定井流的直线图解法
将Dupuit公式进行线性化,采用直线图解法确定含水层参数,基本思路如下。
承压水完整井的稳定流Dupuit公式中,s- lnr之间呈线性关系:
(6)
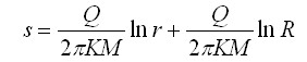
潜水完整井的稳定流Dupuit公式中,s- lnr之间呈非线性关系,所以首先要将Dupuit公式线性化,令:
(7)
对Dupuit公式中的降深 (任意观测孔的降深)进行修正,得一关于s'- lnr的线性方程:
潜水稳定流完整井:
(10)
(s或s')- lnr直线在横轴r上的截距为影响半径R,即(s或s')= 0处的r值为R。
因此,利用抽水试验中多个观测孔的实测资料,建立(s或s')- lnr直线关系,求出直线斜率,直接带入(9)、(10)中求出K值;直线在横轴r上的截距即影响半径R,或令s= 0,根据方程(6)、(8)可直接求出R。
利用上述的直线图解法能够充分利用所有观测孔的观测资料,所计算出的参数具有唯一性,参数值符合实际情况,从而提高了所用参数的精度。
1.3 公式适用条件
将Dupuit公式进行线性化,所得公式的适用条件与原Dupuit公式的适用条件相同。原Dupuit公式的假设条件为:
(1)含水层均质,各向同性,产状水平,厚度不变,分布面积很大,可视为无限延伸;
(2)抽水前的地下水面是水平的,并视为稳定的;
(3)含水层中的水流服从Darcy定律,并在水头下降的瞬间水就释放出来。如有弱透水层,则忽略其弹性释水;
(4)水流为水平径向流,即流线为指向井轴的径向直线,等水头面为以井共轴的圆柱面,并和过水断面一致;
(5)通过各过水断面的流量处处相等,并等于井的流量。
2 实例应用
2.1 承压完整井稳定流直线图解法求内蒙古突泉县突泉镇周边河谷地区水文地质参数,地层普遍分布有松散岩类孔隙潜水(上部)和孔隙承压水(下部),承压含水层分布较均匀,主要由下更新统砂砾石层组成。采用公式(1)~(3)对该区2个抽水井的抽水试验资料进行求参,所求取的参数不是唯一的,且相差很大,不同资料可以得到不同的参数值,很难确定该区的水文地质参数,这给地下水资源的科学评价和合理开发、利用带来了很大的困难。而应用直线图解法所求的参数却是唯一的,且能很好地反映出该区的水文地质条件(表1),与实际情况相符合。
2.2 潜水完整井稳定流直线图解法求参
内蒙古锡林浩特市北40km,面积500km2,潜水含水层分布较为均匀,主要由中、上更新统砾石和卵石层组成。利用公式(4)~(6)对该地区27个抽水井及其观测井的试验资料进行参数计算,每两个观测孔可以计算一个K和R,所求取的参数并不是唯一的,同一眼抽水井周围的参数相差很大,所求参数与实际水文地质条件不符,很难从中选择有代表性的水文地质参数。
利用直线图解法求参,以抽水井zk207及其观测孔的抽水试验观测资料为例,绘出s'- lnr线性关系曲线图(图1),求取的参数是唯一的,并能真实地反映出该区的水文地质情况(表2)。

图1 zk207 号井s- lnr 线性关系图

2.3 分析与讨论
据计算结果分析,采用承压完整井、潜水完整井的稳定流Dupuit公式或Thiem公式确定含水层参数时,利用抽水井与观测孔资料求参,渗透系数K与观测井到抽水井的距离r有关,随r的增大,K和R也增大,出现利用不同距离的观测孔可以求得不同的参数的现象。每两个观测孔之间都可以计算出一个参数值,并且距主孔的距离不同,所求取的参数值相差很大。
利用本文提出的直线图解法计算参数,每个抽水井及其观测孔资料所求出的参数不因观测孔的距离不同而不同,参数是相对稳定的且具有唯一性,所求参数基本是抽水井及其周围含水层的具有代表性的参数。因而具有实际意义。
3 结论
(1)利用原始的Dupuit 公式和直线图解法分别对内蒙古突泉县突泉镇周边河谷地区承压含水层参数T、K、R 以及内蒙古锡林浩特市潜水含水层参数K、R进行计算,计算结果表明,利用Dupuit 公式计算所得的参数值相差很大,而利用直线图解法计算的参数值具有唯一性,并能很好地反映研究区的水文地质条件。
(2)采用Dupuit公式确定含水层参数时,随r的增大,K和R也增大,出现利用不同距离的观测孔可以求得不同的参数的现象,并且距主孔的距离不同,所求取的参数值相差很大。利用直线图解法计算参数,每个抽水井及其观测孔资料所求出的参数不因观测孔的距离不同而不同,参数是相对稳定的且具有唯一性,所求参数基本是抽水井及其周围含水层的具有代表性的参数。
参考文献:
[1]贝尔·雅. 地下水水力学[M]. 许涓铭,等,译. 北京:地质出版社,1985.
[2]陈雨孙,颜明志. 抽水试验原理与参数测定[M]. 北京:水利电力出版社,1985.
[3]杜绍敏,姜英俊,王国春. 抽水试验中的参数计算问题[J]. 黑龙江水专学报,1994(4).
[4]石中平. 水文地质求参实际问题探讨[J]. 西安理工大学学报,2002,18 (1).
[5]张远明. 山前冲洪积扇水文地质参数的选择及计算在广汉市三星堆水源地的应用[J]. 四川地质学报,2001,21 (1).
[6]薛禹群. 地下水动力学[M].北京:地质出版社,1997.
作者简介:李军,杜芳冰,丁时强,王子 内蒙古自治区第九地质矿产勘查开发院 内蒙古 锡林浩特市 026000
文章刊登在在《城市建设理论研究》2012年11月份上旬第31期总第61期上
- 上一篇:对地质矿产勘查中几个问题的深入思考
- 下一篇:高温热水直埋无补偿冷安装技术的应用
文章推荐:
最新文章NEWS
- • 陕西教育(高教版)中文核心期刊论文投稿
- • 北大核心政法期刊发表防范打击“两抢”案件
- • 对钢筋混凝土施工项目成本控制与管理思考
- • 发表经济论文免费期刊经济全球化转型国家制度
- • 探析多媒体技术语文教学应用职称论文发表
- • 化学教学中发挥教师的主导作用
- • 农艺师论文发表闽粤桂三省木材储备基地建设
- • 勉县县城历史文化空间结构论文
- • 探析竞争视角市场营销要素有哪些
- • 探讨园林绿化中的反季节种植方法
